
本指导原则旨在指导注册申请人对HLA-B*58:01基因检测试剂注册申报资料的准备及撰写,同时也为技术审评部门提供参考。
本指导原则是对HLA-B*58:01基因检测试剂的一般要求,申请人应依据产品的具体特性确定其中内容是否适用。若不适用,需具体阐述理由及相应的科学依据,并依据产品的具体特性对注册申报资料的内容开展充实与细化。同时本指导原则仅针对HLA-B*58:01基因检测试剂注册申报资料中的个性化要求开展撰写,其他通用要求与未尽事宜应当符合相关法规与指导原则要求。
本指导原则为注册申请人与技术审评人员使用的指导性文件,但不包括审评审批所涉及的行政事项,亦不作为法规强制执行,应在遵循相关法规的前提下使用本指导原则。要是有能够满足相关法规要求的其他方法,也可以按照基于,然而需要提供详细的研究资料与验证资料。
本指导原则是在现行法规与标准体系以及当前认知水平下制定,随着法规与标准的不断改进,以及科学技术的不断发展,相关内容也将适时开展调整。
本指导原则针对相关产品注册申报资料中的部分内容开展撰写,其他未尽事宜应当符合相关法规要求。
一、适用范围
本指导原则适用于基于荧光PCR法,定性检测人静脉全血样本中的 HLA-B*58:01基因,用于计划服用别嘌呤醇治疗痛风、高尿酸血症等疾病患者的用药指导, 以避免严重皮肤不良反应的试剂。
对于按照基于其他分子生物学检测方法(如基因测序法)或其他样本类型的检测试剂,可能部分要求不完全适用或本文所述内容不够全面;申请人可参考本指导原则,同时依据产品特性对适用部分开展评价,对不适用部分阐述不适用的理由,并验证替代方法的科学可靠性。
HLA-B*58:01等位基因与治疗高尿酸血症与痛风的常用药别嘌呤醇引发的药物超敏反应相关,通过检测HLA-B*58:01等位基因可以辅助判断患者服用别嘌呤醇出现过敏反应的风险 。高尿酸血症与痛风是慢性肾病、高血压、心脑血管疾病及糖尿病等疾病的独立危险因素,是过早死亡的独立预测因子。别嘌呤醇是降尿酸的一线药物之一,但该药可引起史蒂文斯-约翰逊综合征及中毒性表皮坏死症等严重皮肤不良反应。因此, HLA-B*58:01基因检测具有重要的临床意义。
二、注册审查要点
(一)综述资料
综述资料主要包括产品概述、产品综述、预期用途、申报产品上市历史及其他需说明的内容,具体可参考《关于公布体外诊断试剂注册申报资料要求与批准证明文件格式的公告》(国家药品监督管理局公告2021年第122号)附件4。建议申请人额外注意以下内容:
检验原理以图示结合文字的形式描述申报产品的目标靶区域、检测原理、检测过程与结果判读。
弄清楚申报产品检测单个样本所需时间,每个检测周期最多可检测样本数量及检测所需时间(从全血样本处理开始至结果研究结束)。
产品包装描述部分,为便于理解申报产品设计、检测原理与结果判读方法,充分评估申报产品的使用风险,建议在产品描述部分提交申报产品外包装及试剂盒中各组分的实物图片。
其他需说明的内容部分,概括描述整个检测系统的组成,提供配套申报产品使用的仪器、试剂与软件的注册信息,提供核酸提取试剂及其他如需提供的说明书。
(二)非临床资料
1.产品技术要求及检验报告
注册申请人应当在原材料质量与生产工艺稳定的前提下,按照产品研制、前期评价等结果,依据相关文件资料,结合产品特性按照《医疗器械产品技术要求编写指导原则》的要求编写。性能指标建议参考相关行标如《人类白细胞抗原(HLA)基因分型检测试剂盒》的要求,设定阳性符合率、阴性符合率、重复性与检测限(上样DNA浓度下限)。
该类产品作为第三类体外诊断试剂,应当以附录形式弄清楚主要原材料以及生产工艺要求。同时,建议在技术要求附录中详细描述企业参考品的设置与制备过程,弄清楚各企业参考品的样本类型、等位基因与DNA浓度。
第三类体外诊断试剂应当提供三个不同生产批次产品的检验报告。目前已有适用的国家标准品发布,技术要求中应体现国家标准品的相关要求。
2.研究性能研究
注册申请人应提交在符合质量管理体系的环境下生产的试剂盒开展的所有研究性能评估资料,包括具体试验方案、试验数据、统计研究结果及结论等详细资料。密切相关试验的背景信息也应在申报资料中开展描述,包括试验地点,按照基于的试剂名称、规格与批号,仪器名称与型号,样本的背景信息(来源、样本编号、样本类型、采集及处理方式、基因型与浓度确认方法及结果)等。研究性能评估用样本应为真实样本,如声称多种适用样本类型,注册申请人应针对不仍然本类型分别完成性能评估研究。
研究性能评估的试验方法可以参考国际或国内密切相关体外诊断试剂性能评估的指导原则开展,对于本类产品建议着重对以下研究性能开展研究。
2.1适用的样本类型
选择不影响核酸分子检测的抗凝剂,如EDTA与枸橼酸盐开展人静脉全血样本采集。鉴于肝素影响核酸扩增过程,不建议使用肝素抗凝。若适用多种抗凝剂,建议通过同源比对研究一定数量的临床样本验证各种抗凝剂的适用性。
2.2准确度
可通过申报产品与已上市同类产品或测序结果开展方法学比对研究,评价申报产品的准确度。评价准确度的样本应为不同浓度水平的静脉全血样本或其DNA提取液。
2.3精密度
包括重复性、中间精密度与再现性。
精密度评价应按照基于静脉全血样本或其DNA提取液开展研究,纳入阴性样本与阳性样本。浓度水平至少包括上样要求的最低DNA浓度与中高浓度(正常白细胞浓度水平样本)。试验操作应按照说明书执行,需包括核酸提取/纯化等样本处理步骤。
精密度评价需满足如下要求:
2.3.1对可能影响检测精密度的主要因素开展验证,除检测试剂(包括核酸提取/纯化组分)本身外,还包括仪器、操作者、地点、时间、检测轮次、试剂批次等。
2.3.2设定可靠的精密度评价周期,并对批内/批间、日内/日间、不同操作者间与不同实验室间的精密度开展综合评价。
2.3.3可结合产品的特点,对精密度指标评价标准做出可靠要求,如CV值。
2.4研究特异性
2.4.1干扰试验
可通过在静脉全血样本中添加干扰物质的方式,评价添加前后干扰物质对靶基因检测的影响。研究用样本应包括阴性样本、上样要求的最低DNA浓度与中阳性样本(正常白细胞浓度水平样本)。
建议注册申请人在每种干扰物质的潜在最大浓度(“最差条件”)条件下开展评价,如有干扰,应确定不产生干扰的最高浓度。
应针对可能的内源与外源性干扰物开展干扰试验研究。对于全血样本,内源性干扰物质应包括血红蛋白、甘油三酯、胆红素、白蛋白;外源性干扰物质应包括别嘌醇、苯溴马隆、秋水仙碱、碳酸氢钠、丙磺舒、非布司他等。
2.4.2交叉反应
分为生信研究与湿试验两部分。
将所选扩增靶区域、引物与探针序列与IPD-IMGT/HLA数据库HLA-B基因座中除HLA-B*58:01外的其他所有等位基因开展序列比对。对与靶基因序列相近或易引起交叉反应(如引物/探针结合的序列一致或仅存在极个别碱基差异不影响引物探针结合)的HLA-B*58血清型中其他等位基因如HLA-B*58:12,HLA-B基因座中其他血清型开展交叉反应研究。
交叉反应研究建议按照基于静脉全血样本或其DNA提取液开展,罕见等位基因(Rare Alleles)可按照基于细胞系或质粒开展。
申报产品不应相对于他血清型存在交叉反应,不应与HLA-B*58血清型下除HLA-B*58:01之外的常见等位基因(Common Alleles)存在交叉反应。
2.5包容性研究
HLA-B*58:01具有多个等位基因,如B*58:01:01:01,B*58:01:07等。将所选扩增靶区域、引物与探针序列与IPD-IMGT/HLA数据库中HLA-B*58:01的所有等位基因开展序列比对。依据序列比对结果,若等位基因与扩增靶区域与引物/探针等序列中存在核苷酸差异,则应纳入包容性研究范围。
包容性研究包括最低DNA浓度样本的重复性。考虑到样本的可获得性与多样性,建议优先按照基于真实样本或其DNA提取液开展研究,为细胞系样本,最后为质粒。
2.6核酸提取/纯化性能
考虑到研究性能研究时所使用的DNA提取液可能并非来自于说明书中配套使用的核酸提取/纯化试剂,因此,核酸提取/纯化性能研究不仅包括对核酸提取试剂本身性能的研究,还包括其与检测试剂配套使用时的功能性验证。若申报产品适配多个核酸提取试剂,应当分别开展验证。
按照基于全血真实样本开展提取核酸纯度、浓度、完整度、提取效率的研究。
核酸提取试剂配合检测试剂的准确度、精密度与抗干扰研究。此部分功能性验证可单独开展,也可纳入各项性能研究中组合开展。
3.反应体系研究
3.1样本采集与处理
请详述样本的采集及处理方式,弄清楚样本的保存介质。
3.2反应体系
详细描述检验方法的设定与优化过程,包括各步骤中反应程序与反应体系的设置与优化等,弄清楚各步骤与研究过程所用试剂、仪器与软件的名称及版本号。
DNA浓度要求。在保证检测灵敏度与准确度的前提下,考虑到靶标的特性与方法学的特点,此类产品大多要求DNA浓度在一定范围内。申请人在对产品研发设计时,需考虑申报产品检测所需的DNA浓度范围,并对范围的上下限开展研究。
如有多个适用机型,需提供不同适用机型基线与阈值的确定资料。不同适用机型的反应条件要是有差异应分别详述,并提交验证资料。
4.阳性判断值研究
阳性判断值即为能够获得理想的检测准确性的临界值(Cut-off)。研究样本应为预期使用人群的真实样本,样本来源应具有地域与民族多样性,考虑不同时间与生理/病理状。
按照基于受试者工作特征(ROC)曲线的方式开展研究,亦可按照基于其他科学可靠的方法开展阳性判断值研究。
申请人应详述试验方案,列明所用试剂、仪器、比较方法、样本量、样本入组标准;提交阳性判断值研究所用样本的背景信息列表,至少包括民族、性别、年龄、来源、唯一可溯源编号、临床诊断信息等及试验结果等。
要是试剂判读存在灰区,应解释说明灰区范围的确定方法。
提供内标检测结果范围的确定方法与研究资料。
5.主要原材料研究资料
该类产品的主要原材料包括引物、探针、酶、dNTP、核酸分离/纯化组分、质控品、参考品等。申请人可参考《体外诊断试剂主要原材料研究注册审查指导原则》开展主要原材料研究与注册申报资料的准备。除前述指南的通用要求外,建议申请人额外注意以下内容:
5.1引物与探针
HLA*B基因座全长约4000bp,包括7个外显子、6个内含子,5’UTR区域与3’UTR区域。
详述目标检测区域的选择过程,弄清楚其在整个B基因座中的序列位置信息。所选区域应具有特异性与包容性。详述引物、探针的设计原则,提供引物探针序列、靶基因序列及两者的对应情况。针对检测靶序列、引物与探针与公开数据库开展同源性研究,确保所选序列与人类基因非目标区域与常见入血病原体无交叉。
建议设计两套或多套引物探针以供筛选,针对待测位点的检测灵敏度与特异性等开展评价,选择最佳引物探针组合,并提交详细的筛选研究数据。同时如有同源序列应着重评价是否会有交叉反应。
申请人应针对选定的引物、探针原材料开展质量评价,一般包括:外观、分子量、纯度、浓度、探针荧光标记基团的激发波长与发射波长,以及功能性试验等,并依据评价结果形成可靠的质量标准。
5.2内标
内标,又称内对照,可对管内抑制结果的阴性结果开展质量控制,应与靶核酸一同提取及扩增。申请人需对内标的引物、探针设计与相关反应体系的浓度做精确验证,既要保证内标荧光通道呈显著的阳性曲线又要尽量减少对靶基因检测造成的抑制。弄清楚内标的检测结果Ct值范围。建议科学设置内标,对待测样本的取样质量、试剂的反应体系开展监控。
5.3企业参考品
该类产品的企业参考品一般包括阳性参考品、阴性参考品与精密度参考品。企业参考品可为静脉全血样本或其DNA提取液,部分罕见等位基因可按照基于细胞系或质粒制备。
应提交企业参考品的原料来源、选择、制备、浓度及基因亚型确认方法或试剂等相关研究资料。企业参考品的设置至少包括:
阳性参考品为不同浓度水平HLA-B*5801阳性样本,建议纳入包容性研究中的部分等位基因。
阴性参考品应考虑检测特异性的评价,纳入同源序列交叉反应样本与干扰样本等。
精密度参考品至少包括阴性样本与阳性样本,浓度水平至少包括上样要求的最低DNA浓度与中阳性样本(正常白细胞浓度水平样本)。
(四)临床评价资料
临床试验的开展、方案的制定以及报告的撰写等均应符合《体外诊断试剂注册与备案管理措施》《医疗器械临床试验质量管理规范》《体外诊断试剂注册申报资料要求与批准证明文件格式》及《体外诊断试剂临床试验技术指导原则》的要求,如相关法规、文件有更新,临床试验应符合更新后的要求。
1.临床试验机构
应选择至少3家(含3家)已备案的临床试验机构,按照相关法规的要求开展临床试验。申请人应按照产品特点及预期用途,综合不同地区人种与流行病学背景等因素选择临床试验机构。临床试验机构应具有分子生物学方法检测的优势,实验操作人员应有足够的时间熟悉检测系统的各环节,熟悉临床试验方案。
2.临床试验方法
建议申请人选择境内已批准上市的同类产品或Sanger测序法作为比较试剂,按照基于试验体外诊断试剂与之开展比较试验研究,评价试验体外诊断试剂的临床性能。比较试剂的选择应从预期用途、样本要求、检测性能等方面,确认其与试验体外诊断试剂具有较好的可比性。如按照基于Sanger测序法作为比较试剂,所有样本均应报告测序序列,并判断是否为HLA-B*58:01型。
3.受试者选择与样本类型
3.1受试者选择
临床试验的入组受试者应当为具有别嘌呤醇应用适应证的患者,如:痛风、高尿酸血症患者等。
3.2 样本类型
适用的样本类型一般为静脉全血。临床试验应纳入临床原始样本,不应直接按照基于提取的基因组DNA开展试验。临床样本的采集、处理、保存与提取等应分别满足试验体外诊断试剂说明书以及比较试剂说明书的相关要求。
4.临床试验样本量
临床试验样本量应满足统计学要求,可按照基于适当的统计学方法开展估算。
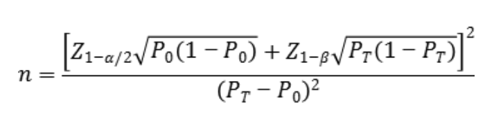
对于HLA-B*58:01基因检测试剂,此部分临床试验目的为评估可归结成两种检测方法之间的一致性,因此建议按照基于单组目标值法开展样本量估算。通过阳性符合率与阴性符合率来分别计算所需阳性样本与阴性样本的例数。

上述公式中,n为样本量;Z、Z为显著性水平与驾驭度的标准正态分布的分数位,P为评价指标的临床可接受标准,P为试验体外诊断试剂评价指标预期值。
在样本量估算中,阳性、阴性符合率的临床可接受标准(P)一般建议均不低于95%。当评价指标P接近100%时,该样本量估算方法可能不适用,应考虑选择更加适宜的方法开展样本量估算与统计学研究,如精确概率法等。
临床试验总体样本量确定时应在上述阳性、阴性样本最低样本量估算的基础上,同时考虑其他可能造成受试者脱落情况等适当增加入组样本量。
5.统计学研究
应对入组人群开展人口学研究,包括年龄、性别与临床诊断背景信息等,以2×2表的形式总结可归结成两种试剂/方法的定性检测结果,评价指标包括阳性符合率、阴性符合率、总符合率及其95%置信区间。
对于检测结果纷歧致的样本,建议按照基于可靠方法开展复核确认,并对差异原因开展研究,从而对申报产品的性能开展客观科学的评价。假阴性可能会结果用药引起的严重不良反应,应研究确认是否满足临床需求。
6.伦理学要求
临床试验应当遵守《世界医学大会赫尔辛基宣言》的伦理学准则,必须获得伦理委员会的同意。研究者应充分考虑临床试验用样本的获得与试验结果对受试者的风险性,应提交伦理委员会的审查意见。
7.临床试验方案
各临床试验机构应执行同一方案,且保证在整个临床试验过程中遵循预定的方案,不可随意改动。整个试验过程应在临床试验机构的实验室内并由本实验室的技术人员操作完成,申报单位的技术人员除开展必要的技术指导外,不得随意干涉试验进程。
试验方案应确定严格的入选/排除标准,任何已入选的样本被排除出临床试验都应记录在案并弄清楚说明原因。应按照基于盲法并在整个临床试验过程中维持盲态以保证试验结果的客观性。各临床试验机构选用的比较试剂应保持一致,以便开展可靠的统计学研究。
8.临床试验小结与报告撰写
临床试验小结与报告应对试验的整体设计及各个根本点给予清晰、完整的阐述,应对整个临床试验实施过程、结果研究、结论等开展条理分明的描述,并应包括必要的基础数据与统计研究方法,最后得出临床试验结论。临床试验小结与报告的撰写参考《体外诊断试剂临床试验技术指导原则》等的相关要求。
(五)产品说明书
产品说明书格式应符合《体外诊断试剂说明书编写指导原则》的要求。产品说明书的技术内容应与注册申报资料中的相关研究结果保持一致,如某些内容引用自参考文献,应以规范格式对此内容开展标注,并单独注明文献的相关信息。
以下内容仅对HLA-B*58:01基因检测试剂说明书的重点内容开展详细说明,说明书其他内容应按照《体外诊断试剂说明书编写指导原则》要求开展编写。
1.【预期用途】应至少包括以下几部分内容:
(1)本产品用于体外定性检测人体静脉全血样本中的HLA-B*58:01基因。不能区分纯合型与杂合型。
(2)本产品用于计划服用别嘌呤醇治疗痛风、高尿酸血症等疾病患者的用药指导,以避免严重皮肤不良反应。
(3)介绍被测基因与临床适应证的关系,弄清楚HLA-B*58:01在中国人群中的分布频率,在临床适应证人群中的出现频率。
(4)弄清楚本产品检测结果仅供临床参考,临床医生应结合患者病情、疗效及其他实验室检测指标等对本产品的检测结果开展综合判断。
2.【产品性能指标】
弄清楚会产生交叉反应的等位基因。
3.【检验方法的局限性】
依据产品特性开展书写,建议包括以下内容:
(1)造成假阳性的情形,如申报产品可检出部分十分见等位基因(包括确认等位基因与罕见等位基因)及弄清楚具体的等位基因名称。
(2)当样本浓度未在申报产品可接受DNA浓度范围内时,检测结果不准确。
三、参考文献
[1]国家市场监督管理总局.体外诊断试剂注册与备案管理措施: 国家市场监督管理总局令第48号[Z].
[2]国家药品监督管理局.关于公布体外诊断试剂注册申报资料要求与批准证明文件格式的公告:国家药品监督管理局2021年第122号[Z].
[3]国家药品监督管理局.体外诊断试剂说明书编写指导原则.国家药品监督管理局2024年第1号[Z]
[4]国家药品监督管理局.医疗器械产品技术要求编写指导原则.国家药品监督管理局2022年第8号[Z].
[5]国家药品监督管理局.体外诊断试剂分类规则.国家药品监督管理局2021年第129号[Z].
[6]国家药品监督管理局 国家卫生健康委员会.医疗器械临床试验质量管理规范.国家药品监督管理局 国家卫生健康委员会2022年第28号[Z].
[7]国家药品监督管理局.体外诊断试剂临床试验技术指导原则:国家药品监督管理局2021年第72号[Z].


1522
