
本指导原则旨在指导注册申请人对数字聚合酶链反应研究仪(下文简写为数字PCR研究仪)注册申报资料的准备及撰写,同时也为技术审评部门审评注册申报资料提供参考。
本指导原则是对数字PCR研究仪的一般要求,申请人应依据产品的具体特性确定其中内容是否适用,若不适用,需具体阐述理由及相应的科学依据,并依据产品的具体特性对注册申报资料的内容开展充实与细化。
本指导原则是供注册申请人与技术审评人员使用的指导性文件,但不包括注册审批所涉及的行政事项,亦不作为法规强制执行,应在遵循相关法规的前提下使用本指导原则。要是有能够满足相关法规要求的其他方法,也可以按照基于,然而需要提供详细的研究资料与验证资料。
本指导原则是在现行法规、标准体系及当前认知水平下制定的,随着法规、标准体系的不断改进与科学技术的不断发展,本指导原则相关内容也将适时开展调整。
一、适用范围
数字聚合酶链反应(digital polymerase chain reaction,dPCR)技术是一种大规模平行荧光单分子模板PCR扩增技术。它将一个荧光定量PCR反应体系分配到大量微小的反应单元中,使每个反应单元中包括0个、1个或少数几个拷贝的目标核酸分子,进而对所有独立的扩增反应单元开展平行扩增,扩增结束后,通过检测每个反应单元的荧光信号,按照荧光信号阳性反应单元的比例与泊松分布统计方法,计算原始样本中目标核酸分子的拷贝数。数字PCR可以直接计算目标序列的拷贝数,是一种无须依赖标准曲线的精准定量检测技术。
本指导原则适用于基于以上数字PCR技术开展核酸定性或定量检测的数字PCR研究仪;适用于全自动一体式数字PCR检测系统,也适用于分体式半自动数字PCR研究仪。不适用于实时荧光定量PCR研究仪,不适用于等温核酸扩增技术的核酸研究仪。
本指导原则针对数字PCR研究仪注册申报资料中的部分内容开展撰写,其他未尽事宜应当符合《关于公布医疗器械注册申报资料要求与批准证明文件格式的公告》等相关法规要求。
二、注册审查要点
(一)监管信息
1.产品名称
产品名称应符合《医疗器械通用名称命名规则》及密切相关规定。
申请人可结合申报产品的特征,直接选用《医疗器械分类目录》品名举例中的适用名称;也可按照医疗器械命名原则,参考《医疗器械分类目录》中的品名举例确定命名,并详细描述确定依据。可命名为如数字PCR研究仪、全自动数字PCR研究系统等。
2.管理类别与分类编码
产品按第Ⅲ类医疗器械管理,该产品属于《医疗器械分类目录》中22临床检验器械目录下05分子生物学研究设备项下03核酸扩增研究仪器。
3.注册单元划分
参照《医疗器械注册单元划分指导原则》中有源医疗器械注册单元划分的基本原则开展划分。
原则上同一注册单元数字PCR研究仪的技术原理、结构组成、性能指标与适用范围应基本一致。同一组成模块数量不同、多荧光通道的数量不同,可以作为同一注册单元;样本通量不同,可以作为同一注册单元。
数字PCR反应单元形式不同的产品,如微滴式、微孔式,应划分为不同的注册单元。微滴式数字PCR研究仪中,微液滴生成方式不同的产品,如流动聚焦法(十字交叉法)、阶梯乳化法、振动注射法等,应划分为不同的注册单元。微液滴的组合形式,如管内收集与单层阵列平铺,应划分为不同的注册单元。
检测研究原理不同的产品,如流式荧光检测法、荧光成像法,应划分为不同的注册单元。
主要结构组成不同,即主要由反应单元制备模块、PCR扩增模块、荧光检测模块中的两个或三个组成,如全自动数字PCR研究系统、数字PCR液滴生成与检测系统,应划分为不同的注册单元。单一的反应单元制备模块或荧光检测模块不建议作为独立的注册单元。
全自动与半自动数字PCR研究仪,如反应单元制备、扩增、阅读研究合于一体的全自动仪器,与需人工转移中间产物的分体式半自动产品,应划分为不同的注册单元。
在工作原理、结构组成一致的情况下,产品性能差异较大时,考虑划分为不同注册单元。
(二)综述资料
数字PCR研究仪的整体工作流程包括样本处理(预处理及核酸提取)、反应体系构建、反应单元制备、核酸扩增与检测研究。数字PCR研究仪的运行需与配套的检测试剂与芯片共同完成样本的检测过程。
1.工作原理
数字PCR研究仪主要是在PCR扩增仪功能的基础上增加了反应单元制备与检测研究功能模块,通过反应单元制备模块将PCR反应体系分割成数万个大小均一的独立微反应体系,使每个微反应单元中包括零个、一个或少数几个靶标核酸分子。然后PCR扩增模块对微反应单元开展温度循环控制,使每一个微反应单元开展独立的PCR扩增。最后检测模块激发并检测每个扩增后微反应单元的荧光强度。软件按照荧光信号强度将微反应单元开展阴阳性划分,对阴阳性微反应单元分别计数,并通过泊松模型计算样本中靶标分子的拷贝数,实现对样本中靶标核酸分子的精准定量。
微反应单元的制备主要通过液(油)-液(水)隔离或固-液隔离的方式。液-液隔离主要是通过“油包水”方式对反应体系开展分割。按照基于液-液隔离方式形成微反应单元的方法主要包括流动聚焦液滴生成法(十字交叉法)、阶梯乳化法、振动注射生成法等。固-液隔离是通过在芯片中预先制备数万个大小均一的微孔,向芯片添加反应体系液体,通过虹吸作用或压力作用使反应体系填满每个微腔或微孔,从而形成数万个物理隔离的微反应单元。目前对微反应单元的检测主要包括流式荧光检测法与荧光成像法。
申请人应当按照申报产品的特点详细描述工作原理,结合配套的芯片,重点对反应单元制备原理、荧光检测及数据研究原理开展详细描述,同时按照配合使用情况对PCR扩增模块开展介绍,极大介绍与配套芯片相关的扩增原理。应按照基于文字加图示的方式对申报产品开展描述,并写明申报产品区别于其他同类已上市产品的特征(可以表格形式逐条开展描述),PCR扩增模块描述与普通qPCR的区别。
2.结构及组成
数字PCR研究仪一般由反应单元制备模块、PCR扩增(温控)模块、荧光检测模块、机械模块、控制模块、电源模块与软件组成。其根本模块是反应单元制备模块、PCR扩增模块、荧光检测模块。因所按照基于的反应单元制备方式与检测研究方法不同,以上各模块的组成存在较大差异,注册人需进一步描述以上各模块的结构组成。
2.1反应单元制备模块:主要功能是将反应体系分割成大量的微反应单元。反应单元制备主要有两类方法,微孔上样法与液滴生成法,因反应单元制备方法不同,其结构组成上也存在一定差异。如振动注射式液滴生成模块:一般包括注射泵、振动驱动装置、液滴平板芯片与控制装置等;阶梯乳化式液滴生成模块:一般包括压盖组件、压力气路系统与配套芯片等;流动聚焦式微液滴生成模块:一般包括精密压力源、气密接口与压力传感器等。微孔法上样仪器的结构一般包括移液机械臂、加样针、纳米孔芯片装载装置等。
2.2 PCR扩增模块:一般包括加热部件、温度传感器、散热器及其他辅助元器件等,主要功能是通过升降温控制,为核酸扩增提供合适的温度或温度循环环境。
2.3荧光检测模块:主要功能是按照程序设定开展荧光信号的激发、传导及信号转化与采集。一般由激发光源、光路系统、光电转换器、信号放大器检测器等组成。激发光源可以为卤钨灯光源、离子激发器、发光二极管(LED)等光源。按照可检测的荧光通道数量及荧光基团的荧光光谱特性,可布置不同波长的滤光片。检测器有超低温光电耦合(CCD)或互补金属氧化物半导体(CMOS)成像系统、光电二极管(PDT)与光电信增管(PMT)等。按照不同荧光染料的最佳波长设计出拥有多个激发发射波长的多通道荧光检测系统。
按照检测方法不同,目前数字PCR的荧光检测模块主要分为流式荧光法与荧光成像法。二者在信号转化与采集等部分会存在差异,需按照产品的具体情况予以弄清楚模块的结构与组成。
2.4控制模块:一般包括主控板、机械控制板、温度控制板、光源控制板等,控制系统各个模块的工作,实现机械部件运动、升降温控制、光源的开关及切换等功能,同时监测各模块的状态并获取检测数据;
2.5机械模块:一般包括电机、导轨、驱动座、连杆等元器件,主要功能是在软件的协同作用下,通过传动部件实现对各部件相关运动的操作控制,如控制样本的进出、芯片的转移、机械臂运动、特定部件的位移等。
2.6电源模块:由适配器与开关电源等组件组成,主要功能是为设备内的各模块提供电能,将交流电转换后直接输出直流电。
2.7软件:布置在申报产品上与/或配套使用的计算机上,可分为控制软件与数据处理软件。控制软件主要作用是支持计算机与硬件的通讯,解析并传递两者间的指令、状态监测及检测数据;数据处理软件提供用户交互的界面,主要通过人机交互,完成信息录入与系统设置、运行检测程序、下达控制指令、完成数据采集与数据研究等功能。
申请人应当按照拟申报产品的具体特征,结合结构示意图,详细描述各组成模块的功能与结构;说明各模块与部件之间的物理连接与功能交互;如模块/根本部件由外部采购,应列出详细信息,包括名称、型号、制造商、质控要求等。根本部件一般为影响申报产品性能的主要部件,如压力传感器、温度传感器、图像采集器、滤光分光组件、微孔/液滴微流控芯片等。
申请人应当结合图示详细描述配套芯片的结构,介绍芯片结构外观、材料、根本尺寸,包括的化学成分:如油相成分、活性剂等,结合芯片的结构描述反应单元制备与检测的原理。
3.适用范围
3.1弄清楚写明申报产品的预期用途,建议按照基于以下形式描述:“该产品基于××反应单元制备与××检测法,与配套的检测试剂与×××芯片共同使用,在临床上用于对来源于人体样本中的靶核酸(××××)开展定性、定量检测,包括×××××项目”。其中,××应当写明反应单元制备与荧光读取的方法;×××应当写明配套使用的芯片类型;××××应当写明靶核酸类型,如DNA/RNA;×××××项目应当按照研究资料的提交情况写明申报产品可以检测的被研究物的大类名称,如病原体、人类基因等”。
3.2弄清楚写明预期使用环境,包括申报产品预期使用的地点,如医疗机构符合要求的临床基因扩增检测实验室,以及可能会影响其安全性与有效性的环境条件,也即申报产品的正常工作条件,包括空间要求、气压、温度、湿度、海拔高度、电源要求等。
3.3弄清楚写明目标用户为经专业培训的医疗机构的检验人员,并写明相关人员操作申报产品应当具备的基本能力要求与资格。
4.包装
概述产品包装信息及与该产品一起销售的配件包装信息,含配件清单。
弄清楚包装中是否包括配套芯片。
5.与申报产品联合使用的信息
申报产品一般与核酸提取仪、数字PCR检测试剂联合使用。申报产品结构组成中不包括扩增仪时,与PCR扩增仪联用,须弄清楚配套PCR扩增仪的型号与上市信息。
(三)非临床资料
1.产品风险管理资料
申请人可参考GB/T 42062及YY/T 1437标准对产品开展全生命周期风险管理,提交风险管理资料。申请人应结合申报产品的设计特点、临床用途及使用场景,充分识别与安全密切相关的特征,开展风险研究、评价及控制。应确保各风险的可追溯性,提供各风险及综合剩余风险的可接受准则,确认各风险及综合剩余风险可接受。
数字PCR研究仪可能存在的危险大致可包括六个方面,即:能量危险、生物学与化学危险、操作危险、信息危险、软件危险、性能相关的危险。
数字PCR研究仪常见的危险示例见下表:
表1 数字PCR研究仪常见的危险示例
危险分类 | 危险原因分类 | 危险示例 |
能量危险 | 电气危险 | 产品异常或经未经培训人员拆卸设备,结果产生漏电流对操作者造成电击损伤的危险。 |
清洁与消毒过程中,对电气部件造成损坏的危险。 | ||
电场或磁场危险 | 在强电磁辐射源周围使用,可能对申报产品产生电磁干扰的危险。 | |
静电放电可能对申报产品产生干扰的危险。 | ||
申报产品正常工作中产生的电磁场对可能共同使用的其他设备的影响等引发的危险。 | ||
热能危险 | 工作过程中会产生热能,要是电路老化、使用时间过长、防护不当等,使热能聚集,可能对操作者造成热能伤害。 | |
机械危险 | 坠落、碰撞等结果机械部件松动,使仪器不能正常运行、检测结果错误、误差过大或显示异常等的危险。 | |
运行过程中机械部件振动过大,结果仪器误差过大或显示异常的危险。 | ||
部件运动过程中触碰结果机械部件复位故障,测量位置不准,结果异常的危险。 | ||
生物与化学危险 | 毒性物质与化学物质 | 漏液或检测完成后的剩余样本、试剂、废液或废弃物等处理不当引起的环境污染或交叉污染。 |
直接接触试剂、样本残留物或其他工作溶液可能结果皮肤刺激或过敏反应。 | ||
病原体感染 | 加样过程中,样本飞溅结果操作人员接触具有潜在传染性的病原体,从而造成感染的风险。 | |
操作危险 | 布置不当 | 因为仪器布置不当或未对仪器的布置使用环境(包括温湿度、气体条件等)开展充分评估结果仪器不能正常运行的危险。 |
操作不当 | 未对使用者开展培训或者使用者未按说明书中的要求开展操作,造成的检测失败、检测结果不准确。 | |
使用与设备不相匹配的芯片、试剂等,造成的检测失败、检测结果不准确。 | ||
在过热、过冷或过湿的环境条件下使用产品,造成检测结果不准确,产品寿命减少。 | ||
如部件在使用前或使用中需要开展连接或重新连接,连接故障可能带来风险。 | ||
产品超期使用,仪器出现疲劳或部件老化结果性能下降或不能正常运行。 | ||
试剂或耗材(如矿物油)混用,可能结果检测结果不准确。 | ||
芯片处理不当,芯片上出现划痕、指纹、灰尘或其他人为因素结果的芯片损坏会影响信号采集,结果结果不准确或无效。 | ||
一次性使用耗材(如芯片、矿物油等)被重复使用可能带来的风险。 | ||
维护不当 | 未按产品说明书的规定对申报产品开展保养清洁、未按产品说明书的规定及时更换元器件,造成的产品检测结果不准确 | |
性能相关的危险 | 功能失效 | 微液滴不能正常产生或不能产生有效的微液滴数量,结果检测结果不准确。 |
扩增过程中产生微液滴异常融合、气泡等情况,影响阳性微液滴判读,进而影响检测结果的准确性。 | ||
信息危险 | 标识、标志不足 | 标记缺少或不正确,标记的位置不正确,不能被正确的识别 |
不能永久贴牢与清晰可辨,不能耐受温度、摩擦及正常使用时可能遇到的溶剂与试剂的影响 | ||
说明书内容不足 | 产品操作说明不够清晰、局限性未充分说明或缺少必要的步骤描述结果不能正常使用仪器。 | |
未对不正确的操作、相对于他设备共同使用时易产生的危险(源)开展警告 | ||
未正确标示包装储运条件、消毒方法、维护信息、对所有标识警告符号的阐述 | ||
未对可靠可预见的误用开展警告等引发的危险(源) | ||
未弄清楚报警信息,结果无法正确排除仪器故障 | ||
软件危险 | 软件设计/操作危险 | 软件设计用户界面项目选择或切换时不方便、界面设计存在缺陷、菜单提示不清晰结果检测结果出错 |
网络安全危险 | 未经授权的人员查看与更改患者数据 | |
数据交换时医疗器械相关数据未设计授权访问、修改、删除,无法保证数据的保密性、完整性与可得性 |
上表中所列风险未涵盖数字PCR研究仪可能涉及的所有风险,仅为举例说明,其他未提及风险请申请人自行改进。
2. 产品技术要求及检验报告
2.1 产品技术要求
按照《医疗器械产品技术要求编写指导原则》的要求,产品技术要求的内容一般包括产品名称,型号、规格及其划分说明,性能指标,检验方法,术语(如适用)及附录。
2.1.1型号、规格及其划分说明
产品技术要求中应弄清楚产品型号、规格。对同一注册单元中存在多种型号、规格的产品,应弄清楚不同型号、规格的划分说明(推荐按照基于图示与/或表格的方式)。选配件的有无、配置/设置不同的情况,可以考虑划分为不同的规格。
弄清楚数字PCR研究仪的基本性能参数,如样本/反应通量、上样体积、激发光源、荧光通道/多靶标检测能力等。弄清楚配合使用芯片的型号、规格、材料、尺寸与结构。
弄清楚软件名称、发布版本与软件完整版本命名规则,含有多个软件组成模块的,各模块若有单独的软件版本、版本命名规则均需说明。
2.1.2性能指标
性能指标即可开展客观判定的成品的功能性、安全性指标。应弄清楚产品技术要求中各指标的确定依据、按照基于的标准或检验方法、按照基于的原因及理论基础。
性能指标的制定应参考相关国家标准/行业标准并结合具体产品的设计特性、预期用途与质量控制水平且不应低于产品适用的强制性国家标准/行业标准要求。数字PCR研究仪适用标准YY/T1918数字聚合酶链反应研究系统,产品功能性指标要求至少应包括反应单元均匀性(数量、体积)、温度控制(升降温控温精度、温度准确度、温度均匀性)、荧光强度重复性、荧光干扰、样本检测准确性、样本检测重复性、样本线性、荧光线性等。对于适用标准中的不适用项,应说明不适用条款的理由并提供依据。
安全性指标包括电气安全性能与电磁兼容性能,电气安全性能应符合GB 4793的要求,建议符合GB/T42125.1、GB/T42125.2、YY/T 0648的要求。电磁兼容性能应符合GB/T 18268.1、GB/T 18268.26的要求。
性能指标中还应弄清楚软件组件与网络安全的要求。软件组件的性能指标包括功能、使用限制、接口、访问控制、运行环境、性能效率(若适用)等要求。其中,功能弄清楚软件的全部根本功能(含安全功能)纲要,注明选装、自动功能,软件组件的功能可包括如样本信息设置、反应条件设置、荧光通道选择、数据处理研究、结果显示、用户管理等功能。软件组件的性能指标要求具体参照《医疗器械软件注册审查指导原则》执行。
2.1.3检验方法
检验方法的制定应与相应的性能指标相适应,应优先考虑按照基于适用标准的检验方法,必要时开展方法学验证,并保证该方法具有可重现性与可操作性。
检验方法中应弄清楚说明被测物(如按照基于参考品/标准品、样本、标准荧光物质等)、浓度水平、试验次数、计算方法。
2.1.4附录
附录为体外诊断及实验室设备基本安全特征,包括环境条件、设备的类别、电源、绝缘图与绝缘表。
2.2检验报告
检验报告可以是申请人出具的自检报告,也可以是委托有资质的医疗器械检验机构出具的检验报告。如提交自检报告,应符合《医疗器械注册自检管理规定》相关要求。
同一注册单元内所检验的产品应当能够代表本注册单元内其他产品的安全性与有效性的典型产品。应考虑产品适用范围、性能指标、安全指标、结构组成等,选择功能最全、结构最复杂、风险最高的产品。不同型号规格之间存在差异,典型型号的检验不能覆盖差异性的,应分别检验。
3.研究资料
按照申报产品适用范围与技术特征,提供非临床研究综述,逐项描述所开展的研究,概述研究方法与研究结论。
3.1产品性能研究
主要描述功能性指标、临床项目研究性能、安全性指标(如电气安全与电磁兼容)以及与质量控制相关的其他指标的确定与验证研究。
3.1.1功能性指标研究资料
应按照综述资料中密切相关申报产品结构组成与各主要组成装置的情况,提供申请人设计开发过程中对各模块/部件设计输入输出的详细的研究资料,弄清楚产品功能性指标的评价方式。
3.1.1.1反应单元制备模块研究
对微孔式数字PCR研究仪,应提供芯片相关性能研究,如微孔尺寸均一性,材料稳定性、分区数量、芯片密封性等性能的研究;提供上样过程中液相的流速、气泡/杂质的干扰研究等。
对微滴式数字PCR研究仪,应提供微滴生成模块的性能研究,如液滴数、液滴体积、液滴均一性、液滴生成效率/生成时间、乳液总体积、油水相试剂的生物兼容性、液滴稳定性、振动幅度等性能的研究。
3.1.1.2 PCR扩增(温控)模块研究
PCR扩增(温控)模块研究,应考虑平板式与管式在设计中的特点与差别,提供加热器件电流/功率的要求及其能达到的升降温速度(包括液滴稳定性对升降温速度的要求),温度传感器的灵敏度要求,加热边缘效应的研究与解决等。
3.1.1.3荧光检测模块研究
荧光检测模块研究,应提供光源的选择及其强度要求(如光功率与功率密度),滤光片的选择及其过滤波长范围的要求,不同通道的实现方式,不同荧光通道干扰的研究与解决方法。
按照荧光检测方式的不同,荧光成像法应提交相机的成像速度、成像视野、分辨率、信噪比等研究;流式荧光法应提交检测速度、检测灵敏度、分辨率、采样率等研究。
3.1.1.5整机性能研究
应针对产品设计要求,研究申报产品的各项性能指标的最优性能以验证各项性能指标能否达到设计预期。如:反应单元均匀性(数量/体积)、温度均匀性/准确度/控温精度、荧光强度重复性、荧光线性、不同荧光通道的干扰、样品容量与反应体积、传动位置准确度等。
申请人提交的研究资料应包括研究的方案、数据与结论。研究资料中针对研究项目的指标,应能体现申报产品能稳定达到并满足研究项目的要求。
3.1.2申报产品临床项目研究性能的研究资料
建议申请人按照配套检测试剂研究性能评估的基础研究结果,结合适用范围,综合考虑申报产品的研究方法、可检测的被研究物情况及检测项目类型,按照对申报产品评价最不利原则,按照基于代表性的临床项目,按照基于临床样本开展研究。代表性项目的选择应同时说明选择依据,研究资料应结合配套试剂,对主要性能开展系统性评估。应同时包括定性检测与定量检测的项目。定性检测项目应至少包括阴/阳性符合率、精密度、灵敏度研究,其中灵敏度研究应能体现数字PCR方法的高灵敏度特性;定量检测项目应至少包括准确度、精密度、灵敏度、线性/定量范围研究,其中准确度研究应能体现数字PCR方法的绝对定量与高准确度特性。每个项目均应弄清楚反应单元数量、体积、样本利用率、定量精度;多重PCR应提供二维散点图结果。
所选代表性项目应按照申报产品的适用范围确定,包括但不限于不同被研究物类型、不同研究方法及不同检测项目类型等方面。如:DNA、RNA靶核酸类型;荧光多靶标检测;定性、定量检测;人类基因、病原体的核酸检测。人类基因检测包括拷贝数变异、低频突变(<1%)、融合重排、点突变、插入缺失检测。建议检测肿瘤多引物复杂变异等项目。
3.1.3安全性指标的验证资料
安全性指标包括电气安全指标与电磁兼容指标两大类。电气安全指标应当包括GB 4793,建议包括GB/T42125.1、GB/T42125.2、YY/T 0648及其他适用的国家标准与行业标准中的指标,电磁兼容指标应当包括GB/T 18268.1与GB/T 18268.26,建议包括其他适用的国家标准与行业标准中的指标。申请人应对上述项目开展研究,按照法规要求提交检测报告。
3.1.4环境条件对产品性能指标无显著影响的研究资料
主要包括气候环境条件、机械环境条件、运输条件等,可参考GB/T 14710及其他适用的国家标准与行业标准中的相关指标,申请人应对上述项目开展研究,或按照法规要求提交检测报告。
正常工作环境以产品标称为准,但需经相应环境试验验证。
4.有效期与包装研究
4.1产品有效期研究资料
应当提供产品使用期限的研究评价报告,报告中应详述申报产品中包括的易耗、易损、需定期更换或者具有固定使用寿命的主要元器件(例如注射泵、压力控制器、温度控制器与传感器、激发光源、信号采集器等)的情况,对影响寿命的因素逐一研究。对于产品中有限次重复使用的部分,应提供使用次数或期限研究资料。应当给出产品使用期限,详述确定产品使用期限的具体理由并提供相关验证数据。
密切相关产品有效期研究资料的详细内容,建议按照《有源医疗器械使用期限注册申报资料指导原则》的要求开展编写。
在使用稳定性研究中,应考虑仪器校准与校准时间研究。
4.2产品包装研究资料
包装研究提交在宣称的有效期内以及运输储存条件下,保持包装完整性的依据。包括振动、跌落等试验。
5.软件研究
5.1提供自研软件研究报告,按照YY/T 0664的要求及产品预期的临床检测项目可能对患者造成的风险,确定申报产品随机软件的安全性级别,并按照确定的安全性级别提交随机软件描述文档。考虑到数字PCR研究仪在临床检验中具有广泛的用途,其软件功能决定了对扩增结果判读的准确与否,如因软件问题造成结果错误,可能会结果临床使用错误结果对患者开展后续治疗,进而对患者造成伤害,数字PCR研究仪的软件风险不应低于中等级别。
数据研究软件应支持数据可视化与数据导出。弄清楚导出的数据格式与文件格式,提供图形化数据输出结果,如:二维散点图、直方图、扩增曲线等。
在根本功能与根本算法部分,应具备反应单元识别与分类功能。详述图像处理算法,自动识别有效反应单元,排除气泡、杂质等无效信号;详述阴阳性分类算法,如:自动阈值计算或自动数据分类;详述泊松分布算法及靶基因浓度的计算。
5.2提供网络安全描述文档,弄清楚申报产品相关的数据类型、数据交换方式、数据导出格式、功能/用途、运行环境等,从保密性、完整性、可得性等方面对申报产品的网络安全性开展风险管理与测试验证,弄清楚网络安全的维护方式等以保证产品安全有效。
密切相关软件研究资料的详细内容,建议按照《医疗器械软件注册申报资料指导原则》、《医疗器械网络安全注册技术审查指导原则》的要求开展编写。
(四)临床评价资料
1.同品种临床评价路径的基本要求
1.1同品种医疗器械判定
申请人可按照《医疗器械临床评价技术指导原则》中“同品种医疗器械”的定义与判定,选择已在境内获准注册的比较器械,按照申报产品特征选择合适的比较项目,研究比较器械是否符合同品种医疗器械的要求。
申请人所按照基于的同品种医疗器械应与申报产品适用范围一致,基本原理一致,根本模块构成一致、性能相似,根本指标没有显著差异。
1.2申报产品与比较器械的等同性论证
选择合适的比较器械后,应开展相关项目的比较以论证其等同性。比较项目包括但不限于附件1所列举的项目。比较内容包括定性与定量数据、验证与确认结果,应详述二者的一致性与差异性,对于一致性,应提交充分的证据(如产品说明书、审评报告、检验报告、技术要求等)并弄清楚证据来源。对差异性是否对产品的安全有效性产生不利影响,应通过申报产品自身的数据开展验证与/或确认。
适用范围应重点关注可检测的核酸类型、对使用环境的要求以及定性/定量检测。
基本原理应重点关注微反应单元的制备(包括但不限于制备模块的结构、油相/水相的驱动方式、微反应单元质控方式等)、PCR扩增过程(包括加热方式、温度传过程、散热方式等)、荧光检测过程(包括但不限于荧光采集模块的结构、光源、滤光器件等)、软件根本算法(软件一般包括控制软件与数据处理软件)等。
结构与组成应重点关注反应单元制备模块、PCR扩增模块、荧光检测模块、控制模块、机械模块、电源模块、软件等,建议结合图示标注及性能参数开展比较。
整机根本指标应重点关注:样本/反应通量、上样体积、激发光源、荧光通道;反应单元均匀性(数量、体积)、温度控制(升降温控温精度、温度准确度、温度均匀性)、荧光强度重复性、荧光干扰、样本检测准确性、样本检测重复性、样本线性、荧光线性等。
按照上述比较,如比较产品不符合同品种产品要求的,应重新选择比较产品开展同品种比较或补充申报产品的临床试验资料;如申报产品与比较器械可判定为同品种产品,还需对两者之间的差异开展阐述并对是否对产品安全性、有效性产生不利影响开展进一步评价。相关内容可参考《医疗器械临床评价等同性论证技术指导原则》。
1.3差异性部分的安全有效性证据
针对申报产品与比较器械之间的差异,注册申请人需提交充分的科学证据证明二者的安全有效性等同。
科学证据包括但不限于:差异对模块性能的影响研究,差异对整机性能的影响研究。通常为研究资料或验证报告等。科学证据应详细说明针对差异开展的研究方式及研究结果,通常需包括准确、可靠、完整、可追溯的数据,必要时包括数据的产生过程,试验数据建议来自有良好质量控制的实验室;应进一步评价差异是否影响性能,以及影响的程度与范围,必要时提供临床试验数据开展确认。
不同情形所需提交的支持性资料不尽一致,申请人应当按照具体差异点提供相应的支持性资料,资料的类型与数量应按照申报产品与比较产品的差异点对产品安全性、有效性的影响开展确定。具体内容可参考表1,表1中具体情况举例可能不能涵盖所有情况,申请人应按照申报产品的具体情况开展列举与判定,并给出判定的具体理由。
表1 申报产品与比较产品关系及需提交资料类型表
申报产品与比较产品关系 | 申报产品与比较产品差异类型 | 具体情况举例 | 需提交 资料类型 |
属于同品种 | 通常提交非临床研究可能充分证明的差异 | 前提:申报产品适用范围不超出比较产品;基本原理(例如反应单元制备原理、微反应单元的荧光信号采集原理、信号处理与研究原理)与比较产品一致;申报产品的根本模块构成与比较产品基本一致。以下针对以下差异可提供非临床研究。 1.申报产品与比较产品相比,临床功能模块及模块性能存在差异。 2.申报产品与比较产品相比,有效上样体积、微反应单元有效数量、微反应单元体积与比较产品纷歧致,但差异未造成产品性能的显著差异。 3.申报产品与比较产品相比,整机在性能与安全性(电气安全、电磁兼容等)存在差异,差异不影响产品临床应用。 | 通常提交非临床研究可能充分证明的差异:非临床研究、与/或临床文献数据、与/或临床经验数据 |
需要提交临床试验资料的差异 | 1.申报产品适用范围多于同品种产品。 | 针对差异的临床试验资料 | |
不属于同品种 | 1.申报产品的适用范围与比较产品不同。 2.申报产品的基本原理与比较产品不同。例如微反应单元制备原理、荧光信号采集原理、信号处理与研究原理等。 3.申报产品的根本模块的构成与比较产品差异较大。例如微反应单元生成模块、温控模块、信号采集模块。 4.申报产品的性能与比较产品差异较大。 5.分体机与全自动的一体机,不建议作为同品种。 | 重新选择同品种产品开展比较或补充申报产品的临床试验资料 |
对于存在多个差异点的情况,申请人应当完整地列出申报产品与同品种器械的所有差异点,并说明这些差异点的相互关系。若不同差异点之间存在相关性或相互影响,则应提供单个差异点影响的研究证据与关联性差异点共存时影响的研究证据。
基于申报产品与同品种器械的比较结果,要是非临床研究、临床文献数据、临床经验数据等无法充分地证明该差异对产品安全性与有效性的影响,则申请人应提供相应的临床试验资料。
通过对相应的性能及数据质量的评价,结果显示没有显著差异的,可认为申报产品与同品种产品基本等同。则可收集同品种产品的临床数据集,以证明申报产品自身的安全有效性。
1.4同品种医疗器械的临床数据总结
要是判定申报产品与比较器械基本等同,则可收集同品种医疗器械的临床数据集,以证明申报产品的安全有效性。同品种医疗器械临床数据的收集、同品种医疗器械临床数据研究评价方法、临床评价报告撰写等方面的具体内容可参照《医疗器械临床评价技术指导原则》及《医疗器械注册申报临床评价报告技术指导原则》的相关规定。
对于同品种产品在临床应用时产生的安全有效性数据,应考虑选择具有代表性的临床检测项目(如能够确认产品高灵敏度及定量检测的项目)开展相关数据的收集与研究。
2.临床试验路径的基本要求
临床试验的开展、方案的制定以及报告的撰写均应符合相关法规、指导原则的要求,如相关法规、指导原则有更新,临床试验应符合更新后的要求。下面仅说明该类产品临床试验中应关注的重点问题。
2.1临床试验机构
应选择不少于两家(含两家)符合要求的临床试验机构开展临床试验。临床试验机构应具备相应的检测资质与人员。
2.2临床试验目的及设计
2.2,1临床试验目的
通过申报产品与临床参考方法或已上市同类产品开展比较研究,确认试验医疗器械的安全性、临床性能与/或有效性。
2.2.2研究项目的选择
应按照试验医疗器械所声称的适用范围,选择合适的代表性项目开展临床试验。临床试验应同时针对申报产品定量性能与高灵敏度的性能开展确认。
在研究项目的选择上,如非临床研究证明,试验医疗器械针对不同的核酸类型(如:DNA、RNA检测)、不同的突变类型(如:点突变、小片段的插入/缺失、拷贝数变化)、不同核酸来源(如:人类基因、病原体核酸等)项目性能符合检测系统评价要求的情况下,临床试验可选择一个或多个具有典型代表性的项目开展临床试验。临床试验可选择不同的项目分别确认试验医疗器械的高灵敏性能及定量检测性能,亦可以选择一个项目同时确认试验医疗器械的高灵敏性能及定量检测性能。
如试验医疗器械非临床研究证明,产品针对不同类别的检测(如:核酸类型、变异类型、来源等)性能存在差异,临床试验应针对不同的检测分别选择具有代表性项目开展临床试验。
2.2.3比较方法的选择
临床研究过程中,可以选择已在中国境内上市的同类产品作为对照。如选同类产品作为对照,建议选择目前在临床检测方面使用状况良好的机型,应注意试验医疗器械的适用范围不应超过同类产品的适用范围,同时应提供对照产品的信息,如生产企业、型号、适用范围等。如试验医疗器械的适用范围超过已批准上市同类产品,可在以同类产品作为对照对一致的适用范围开展评价的同时,另外选择临床参考方法作为比较方法,对超出同类产品的适用范围开展临床评价。
临床试验过程中,亦可选择可靠的实验室参考方法作为对照标准,评价申报器械相较于一代测序或已上市的基于PCR技术产品的优效性与非劣效性研究。在开展该类临床试验设计时,一般考虑申报产品在灵敏度方面优效于一代测序或已上市的基于PCR技术产品,在特异度方面非劣效于一代测序或已上市的基于PCR技术产品。同时,选择的比较方法应能够充分评价试验医疗器械定量检测的性能。
2.2.4临床评价指标
针对与已上市同类产品开展一致性比对的临床试验,定性检测的主要评价指标一般为检测准确性(灵敏度、特异度)或检测一致性(阳性/阴性符合率、总符合率、Kappa值等),主要评价指标应能够满足评价产品临床性能的要求。定量检测的主要评价指标一般为回归研究的回归系数、截距、相关系数与决定系数等,按照基于Bland-Altman法,计算一致性限度,评价可归结成两种方法的一致性,一致性限度应在临床所能接受的界值范围内。
临床试验如选择可靠的实验室参考方法作为对照标准,评价申报器械相较于一代测序或已上市的基于PCR技术产品的优效性与非劣效性研究,主要评价指标为申报产品灵敏度是否满足优效性要求,特异度是否满足非劣效性要求。
同时申请人还应对临床试验检测项目开展数据质量的研究。
次要评价指标一般包括仪器功能、稳定性、使用便捷性、使用安全性等。
2.2.5样本量估算
为实现抽样样本代替总体的目的,临床试验需要一定的受试者数量(样本量)。样本量一般以临床试验的主要评价指标开展估算。需在临床试验方案中说明样本量估算的相关要素及其确定依据、样本量的具体计算方法。主要评价指标的相关参数按照已有临床数据与探索性性试验(如有)的结果来估算,需要在临床试验方案中弄清楚这些估计值的确定依据。一般情况下,Ⅰ类错误概率α设定为双侧0.05或单侧0.025,Ⅱ类错误概率β设定为不相较而言更多0.2,预期受试者脱落与方案违背的比例不相较而言更多0.2,申请人可按照产品特征与试验设计的具体情形按照基于不同的取值,需充分论证其可靠性。
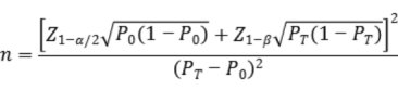
如临床试验按照基于试验医疗器械与已上市同类产品开展比较研究的试验设计,建议按照基于单组目标值法样本量公式估算最低样本量。

公式中,n为样本量;Z1-α/2、Z1-β为显著性水平与驾驭度的标准正态分布的分数位,P0为评价指标的临床可接受标准,PT为试验用体外诊断试剂评价指标预期值。
如临床试验按照基于实验室参考方法作为对照标准,评价申报器械相较于一代测序或已上市的基于PCR技术产品的优效性与非劣效性研究,应按照基于优效性模型开展阳性样本量的估算,按照基于非劣效性模型开展阴性样本量的估算。
样本量估算过程中应考虑标志物对申报产品线性范围的覆盖情况,临床试验过程中,阳性样本应对申报产品线性范围具有良好的覆盖。
2.2.6统计研究
应选择合适的统计方法对临床试验结果开展统计研究,对于试验医疗器械与参考方法/已上市同类产品的一致性评价,一般选择2×2四格表的形式总结可归结成两种产品的检测结果,并据此计算灵敏度/特异度、阳性/阴性符合率、Kappa值等指标及其95%置信区间。对于定量检测项目,计算回归研究的回归系数、截距、相关系数与决定系数等,按照基于Bland-Altman法,计算一致性限度。
对于纷歧致样本,应开展原因研究。如临床试验方案规定按照基于其他方法开展确认,则确认结果不应纳入统计研究。
对于次要评价指标,仪器功能一般主要研究仪器运行过程中是否能实时监测运行状态并自动对用户开展提示、异常状态报警功能、运行过程追踪记录功能、数据备份功能、样本/反应载体/试剂正确识别功能等;稳定性主要研究仪器在临床试验过程中可持续正常工作;使用便捷性主要研究试验参数设置的便捷性及操作界面友好性等;使用安全性主要包括机械安全性、电气安全性、噪声安全性、生物安全性等。
2.3质量控制
临床试验开始前,建议开展临床试验的培训,以熟悉并掌握相关试验方法的操作、仪器、技术性能等,最大限度控制试验误差。整个试验过程都应处于有效的质量控制下,最大限度保证试验数据的准确性及可重复性。
3.决策是否开展医疗器械临床试验
对于具有下列情形之一的产品,通过同品种医疗器械临床数据开展研究评价无法充分证明产品安全性、有效性的,应当开展临床试验,包括:
3.1申报产品的基本原理(例如:微液滴生成原理、微滴检测原理、荧光信号采集原理、信号处理与研究原理等)具有全新的技术特性。
3.2申报产品具有新的临床预期使用场景与功能,且该功能从未在境内获得批准。
3.3针对与同品种医疗器械之间的差异,若不能通过非临床研究数据、临床应用数据等证据资料证明申报产品的安全性与有效性,申请人需要考虑通过临床试验来获得临床数据。
具体决策是否开展医疗器械临床试验可参照《决策是否开展医疗器械临床试验技术指导原则》,并提供充分的依据。
(五)产品说明书与标签样稿
1.产品说明书
产品说明书应当符合《医疗器械说明书与标签管理规定》及其他适用规定的要求。
产品说明书的内容均应有弄清楚的来源,与综述资料、研究资料等注册申报资料的内容保持一致。
1.1结构组成:
如数字PCR研究仪可以与PCR扩增仪配套使用,其结构组成也可不包括PCR扩增模块,但需在说明书中弄清楚可配套使用的PCR扩增仪的名称、型号、上市情况等信息。
说明书中注明配套芯片的型号、材料、结构与根本尺寸。建议图示弄清楚芯片结构与尺寸。
1.2稳定性中注明校准周期,仪器校准方法。
1.3清洁/消毒工艺:
弄清楚采取的污染控制措施,包括仪器清洁与消毒工艺等,如管路清洗、紫外线消毒等。
因为数字PCR的高敏感性,需消除核酸与试剂残留,建议清洁/消毒后做阴性对照测试。
2.最小销售单元的标签样稿
标签样稿应当符合《医疗器械说明书与标签管理规定》的要求,标签内容应当包括第十三条规定的内容。
三、参考文献
[1] 彭年才.数字PCR:原理、技术及应用[M].北京:科学出版社,2024.1.
[2] 刘毅,郭永(译者).数字PCR方法与方案[M].北京:科学出版社,2023.7.
[3] YY/T 1918-2023,数字聚合酶链反应研究系统[S]
[4] 国家食品药品监督管理局.医疗器械注册单元划分指导原则:总局关于发布医疗器械注册单元划分指导原则的通告2017年第187号[Z].
[5]国家药品监督管理局.医疗器械产品技术要求编写指导原则:国家药监局通告2022年第8号[Z].
[6]国家药品监督管理局医疗器械审评中心.医疗器械网络安全注册审查指导原则(2022年修订版):国家药监局器审中心通告2022年第7号[Z].
[7]国家药品监督管理局医疗器械审评中心.医疗器械软件注册审查指导原则(2022年修订版):国家药监局器审中心通告2022年第9号[Z].
[8]GB/T 42062,医疗器械 风险管理对医疗器械的应用[S].
[9]YY/T 1437,医疗器械 GB/T 42064应用指南[S].
[10] 国家药品监督管理局.医疗器械临床试验质量管理规范:国家药监局公告2022年第28号[Z].
[11] 国家药品监督管理局. 医疗器械临床评价技术审查指导原则:国家药监局通告2021年第73号[Z].
附件 申报产品与同品种器械比较表
1. 适用范围
序号 | 比较项目 | 同品种产品 | 申报产品 | 一致性 | 差异性 | 支持性资料概述 | |
适用范围 | 1.1 | 检测原理 | |||||
1.2 | 定性/定量检测 | ||||||
2.基本原理
序号 | 比较项目 | 同品种产品 | 申报产品 | 一致性 | 差异性 | 支持性资料概述 | |
基本原理 | 2.1 | 工作原理a | |||||
2.1.1 | 微反应单元生成原理 | ||||||
2.1.2 | 生化反应原理 | ||||||
2.1.3 | 温度控制原理 | ||||||
2.1.4 | 信号采集原理 | ||||||
2.1.5 | 信号处理与研究原理 | ||||||
2.1.6 | 系统集成原理 | ||||||
2.1.7 | 其他需要比较的项目 | ||||||
2.2 | 产品类型b | ||||||
a申报产品与同品种产品的工作原理应一致。应详述根本结构模块的原理,包括:微液滴生成原理(包括等)。
b产品类型应弄清楚便携式、固定式(台式/落地式)。
3.结构组成
序号 | 比较项目 | 同品种产品 | 申报产品 | 一致性 | 差异性 | 支持性资料概述 | |
结构组成 | 3.1 | 产品组成a | |||||
3.2 | 根本部件b | ||||||
3.2.1 | 微反应单元生成模块 | ||||||
3.2.2 | 温控模块 | ||||||
3.2.3 | 信号采集模块 | ||||||
3.2.4 | 信号处理模块 | ||||||
3.2.5 | 机械传动模块 | ||||||
3.2.6 | 其他需要比较的项目 | ||||||
a产品组成应包括描述申报产品的所有结构组成。对微反应单元生成模块、温控模块、信号采集模块、机械传动模块、控制模块、流体液路系统/气路系统、电源模块以及软件等功能模块开展逐项详细比对。建议结合图示标注及性能参数开展比较。
b根本部件应至少对微液滴生成模块、温控模块、信号采集模块(光学或非光学信号采集的根本器件)与信号处理模块及其元件技术指标开展比较。
4.性能要求
序号 | 比较项目 | 同品种产品 | 申报产品 | 一致性 | 差异性 | 支持性资料概述 | |
性能要求 | 4.1 | 功能参数a | |||||
4.2 | 性能参数b | ||||||
4.3 | 反应模式及用时 | ||||||
其他需要比较的项目 | |||||||
a功能参数应包括不同模块的具体参数比较。
b性能参数应包括:微反应单元有效数量、微反应单元体积、微反应单元均一性、阳性微反应单元分布;温度准确性、温度均匀性、升/降温速度、控温精度;荧光通道的配置、荧光强度重复性、荧光干扰、荧光线性;检测性能,如样本检测的准确性、重复性、线性范围等(包括不仍然本类型,变异类型,检测核酸样本类型的比较)。
5.软件根本功能及算法
序号 | 比较项目 | 同品种产品 | 申报产品 | 一致性 | 差异性 | 支持性资料概述 | |
软件根本功能及算法 | 5.1 | 运行控制 | |||||
5.2 | 状态监控 | ||||||
5.3 | 数据处理 | ||||||
5.4 | 数据质控 | ||||||
5.5 | 结果报告 | ||||||
5.6 | 其他需要比较的项目 | ||||||
6.配套要求
序号 | 比较项目 | 同品种产品 | 申报产品 | 一致性 | 差异性 | 支持性资料概述 | |
配套要求 | 6.1 | 上机样本质量要求 | |||||
6.2 | 配套使用的通用试剂要求 | ||||||
其他需要比较的项目 | |||||||
7.安全性评价
序号 | 比较项目 | 同品种产品 | 申报产品 | 一致性 | 差异性 | 支持性资料概述 | |
安全性 评价 | 7.1 | 通用电气安全 | |||||
7.2 | 专用安全 | ||||||
7.3 | 网络安全 | ||||||
8.其他
序号 | 比较项目 | 同品种产品 | 申报产品 | 一致性 | 差异性 | 支持性资料概述 |
8 | 标签 | |||||
9 | 产品说明书 | |||||
10 | 禁忌证 | |||||
11 | 防范措施与警告 | |||||
12 | 产品符合的国家/行业标准 | |||||
13 | 其他需要比较的项目 |
以上所列出的内容为申报产品与同品种器械比较需要具体考虑的事项,申请人可按照产品特点增加比较项目。


1161
